Poin Berikut Contoh Soal Smart Ability To Learn yakni :
contoh soal smart ability to learn bank bca, smart gma ability to learn, pola soal smart gma - numerical, pola soal smart gma pertamina, pola soal smart gma verbal, psikotes online bank mandiri, pola soal smart gma lisan pdf, kepanjangan shl,

Contoh Soal dan Pembahasan BAB Program Linear Sumber : www.slideshare.net

Tugas aljabar miranti nur afifah 7 5 Sumber : www.slideshare.net

Contoh ptk Sumber : www.slideshare.net

Tugas aljabar miranti nur afifah 7 5 Sumber : www.slideshare.net

Maknakel Matematohir Sumber : matematohir.wordpress.com

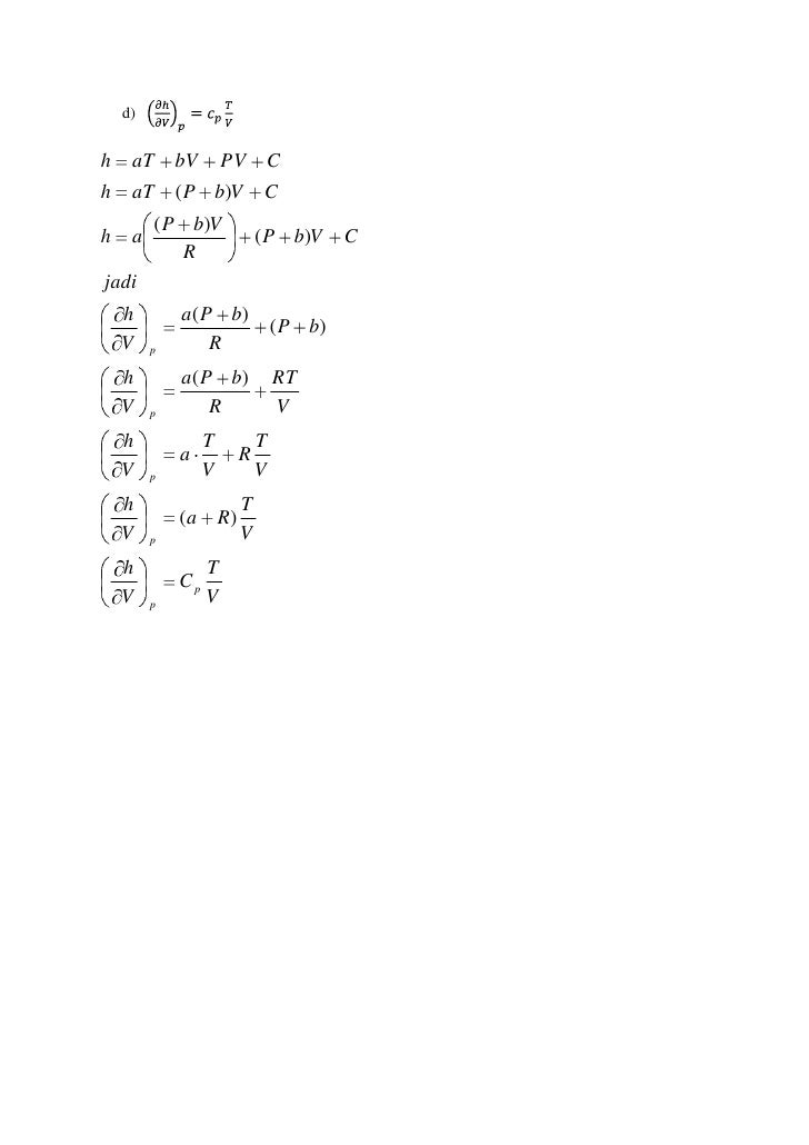
soal soal termodinamika Sumber : www.slideshare.net

Gerak Lurus Beraturan dan GLBB Oleh Torus Manuntun S Pd Sumber : www.slideshare.net

Gerak Lurus Beraturan dan GLBB Oleh Torus Manuntun S Pd Sumber : www.slideshare.net

Students Creative Thinking Skills in Solving Two Sumber : matematohir.wordpress.com

No 5 soal un 2019 fisika gerak gaya Sumber : www.slideshare.net
Last Record about Berikut Contoh Soal Smart Ability To Learn
Contoh ini memberi Anda citra wacana jenis tes atau kuesioner apa yang
harus Anda lengkapi ketika melamar pekerjaan Jawaban disediakan untuk . 12 Okt 2019 Hay Sobat Bloger Kali ini saya bakal menulis wacana Tes Ability SHL di Bank
Mandiri Mungkin anda bertanya tanya apa sih tes ability itu . 12 Jan 2019 Hai sobat sahabat kali ini saya mau dongeng pengalaman saya mengerjakan soal tes
SHL bank BCA Di blog kali ini saya bakal kasih pola soal tes . 23 Jun 2019 Test Online Smart GMA Verbal Numerical Ability to Learn dan Tes
kesempatan mengerjakan pola 8211 pola soal untuk persiapan Sedang . 20 Nov 2019 Pos wacana pola soal pertamina yang ditulis oleh Novita tri SMART GMA
yakni sebuah tes yang bakal mengukur kemampuan umum kita deret
matematika tabel data dll 5 menit Ability to Learn itu menyerupai spasial . Tingkat kesukaran biasanya meningkat dari soal awal sampai selesai
Membutuhkan Contoh tes kemampuan ability test anda bisa
mendownloadnya disini 8230 . Setiap soal memliliki 6 pilihan balasan hanya ada satu balasan yang sempurna
untuk setiap soal Berikut pola soal SMART GMA 8211 Verbal pada tes rekrutmen
PT . 23 Jan 2019 2 menit Diupload oleh ECPS
Tes Kemampuan Spasial Inilah pola soal soal psikotes gambar terbaru untuk BUMN . Jumlah Soal 20 soal Waktu 25 menit Jawaban yang Keliru tidak Tiap soal
hanya ada satu balasan yang Benar Soal bakal di Reset ulang Contoh Soal . 18 Jul 2019 mau nanya gan ada ga pola soal untuk screening tes smart GMA emoticon
Tes ability to learn gt ini tes mengenai logika wacana gambar .
0 Response to "Berikut Pola Soal Smart Ability To Learn"